1000 Worte
Photowissen
Geometrie und Berechnung der Schärfentiefe
01.12.2010
Abb. 1 Schema der Beziehung zwischen Zerstreuungskreis und Fokusfehler
Innerhalb des Bereichs des maximal zulässigen Fokusfehlers x wird der Durchmesser des maximal zulässigen Zerstreuungskreisdurchmessers z nicht überschritten.
Eine Differenz zwischen Filmebene und scharfer Abbildung, der Fokusfehler X, führt zur unscharfen Abbildung eines Bildpunktes als Zerstreuungskreis Z. Da ist es sinnvoll eine Unterscheidung vorzunehmen zwischen dem Zerstreuungskreis Z, der unter bestimmten Bedingungen existiert, und dem maximal zulässigen Zerstreuungskreis z einerseits bzw. dem ebenfalls unter bestimmten Bedingungen vorkommenden Fokusfehler X und dem maximal zulässigen Fokusfehler x vorzunehmen. Es interessiert uns also, wie groß der Fokusfehler maximal sein darf, ohne daß die Unschärfe im Bild wahrnehmbar wird. Auf diesem Weg betrachten und bestimmen wir quasi zuerst die bildseitige Schärfentiefe, die auch als Fokustiefe bezeichnet wird, und leiten dann über zur praktisch relevanteren motivseitigen Schärfentiefe.
Abb. 1 illustriert den Zusammenhang zwischen Zerstreunngskreis Z, Fokusfehler X, Bildweite B und wirksamem Blendendurchmesser D, der sich mathematisch in der folgenden Formel ausdrückt:
Wenn wir davon ausgehen, daß die Bildweite annähernd gleich der Brennweite ist (was in der Regel der Fall ist, sobald die Objektiv-Objekt-Entfernung mindestens der zehnfachen Objektivbrennweite entspricht), können wir die Formel vereinfachen:
Formel 2
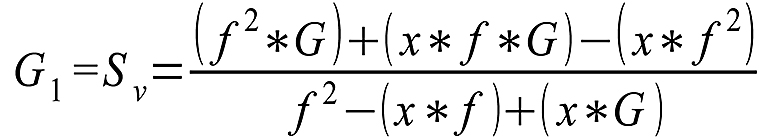
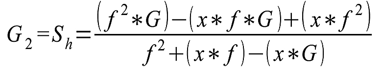
Abb. 2 Schema der motivseitigen Schärfentiefe
Die Strecke Sv – Sh markiert die Gesamtschärfentiefe S.
Aus der Vereinfachung können wir Ablesen, daß A) die Brennweite f keine Rolle für die Größe des Zerstreuungskreises spielt, weil sie sich wegkürzt, B) sich sein Durchmesser direkt proportional zum Fokusfehler X und C) umgekehrt proportional zur Blendenzahl N verhält.
Der maximal zulässige Fokusfehler x ergibt sich wie folgt:
Der maximal zulässige Fokusfehler x, der auf beiden Seiten der Bildebene (die Strecke zwischen der Bildebene und dem Punkt Bv bzw. der Bildebene und dem Punkt Bh in der Abb. 1 jeweils gleich groß ist, ist demzufolge gleich dem Produkt aus maximal zulässigem Zerstreuungskreis z und eingestellter Blendennummer N. Für Blende 4 und z=0,03 mm ergibt sich so beispielsweise:
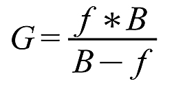
Um von hier aus auf die Ausdehnung der bildseitigen Schärfentiefe schließen zu können, brauchen wir die unterschiedlichen Bildweiten. Also die Abstände zwischen der Hauptebene und der Bildebene B bzw. zwischen der Hauptebene und der vorderen- und hinteren Grenze der bildseitigen Schärfentiefe Bv und Bh. Diese Bildweiten ermitteln wir durch Umstellen der Linsenformel:
Formel 4
Für eine Situation in der das Objektiv mit der Brennweite f = 50 mm auf eine Entfernung G = 2000 mm (gemessen von seiner Vorderseite) eingestellt ist ergibt sich so:
Der Abstand zu Bv vor der Filmebene entspricht B-x, der zu Bh hinter der Filmebene ist gleich B+x:
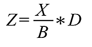
Damit besitzen wir die Werte für die bildseitige Schärfentiefe der Kombination f = 50 mm, f/4, z = 0,025 mm, G = 2000 mm. In Wirklichkeit sind wir aber an der Ausdehnung des scharfen Bereichs auf der Objektseite interessiert. Schließlich wollen wir wissen, welcher Teil unseres Motivs im Bild akzeptabel scharf erscheinen wird. Um ihn zu ermitteln, projizieren wir die Punkte Bv und Bh auf diese andere Seite. Dies sind die Punkte Sv und Sh in Abb. 2. Die Linsenformel gibt uns nach einer anderen Umstellung die Möglichkeit dazu, denn sie setzt ja Bildweite B, Gegenstandsweite G und Brennweite f in eine Beziehung zueinander:
Formel 5
Für unseren beispielhaften Fall ergeben sich dann harte Zahlen nach den drei folgenden Berechnungen:
Das Ergebnis für G entspricht nicht ganz unserer zugrunde gelegten Gegenstandsweite von 2000 mm, ist aber angesichts des Umstands, daß es sich hier um eine Näherungsformel handelt, genau genug. Nach diesen Berechnungen müssen wir an dieser Stelle erstmal festhalten, daß sich die objektseitige Schärfentiefe nun nicht mehr so schön symmetrisch verteilt, wie das beim zulässigen Fokusfehler/der bildseitigen Schärfentiefe der Fall war:
Dieser nichtsymmetrischen Aufteilung, hervorgerufen durch die der Formel 4 innewohnende Nichtlinearität, begegnet einem bei der Betrachtung der Eigenschaften der Schärfentiefe an vielen Stellen.
Nun ist es zugegeben ziemlich aufwendig und kompliziert, die Schärfentiefe auf diese zum Verständnis der grundlegenden Beziehungen notwendigen Art und Weise auszurechnen. Aus diesem Grund wollen wir die Linsenformel direkt nach Gegenstandsweite G, Brennweite f und zulässigem Fokusfehler x auflösen:
Setzen wir kurz die Werte ein, um zu prüfen ob alles stimmt:
Wunderbar, alles korrespondiert prima mit den weiter oben ermittelten Zahlen! Die Gesamtschärfentiefe ergibt sich indem man Sv von Sh subtrahiert oder Formel 8 ausrechnet:
Formel 8
Natürlich ist dieser Fußweg auf die Dauer zu umständlich. Deshalb empfehle ich einen der zahlreichen im Web zur Verfügung stehenden Schärfentiefe-Rechner (z.B. DOFMaster). Ich will aber gleich darauf hinweisen, daß die Ergebnisse nur Richtwerte sind: Die Berechnung ist nicht exakt. Jedes Objektiv hat optische Fehler, Filme erzeugen Lichthöfe, der genaue Zerstreuungskreisdurchmesser hängt ab vom Betrachtungsabstand und vom Auflösungsvermögen des Auges. Alles in allem haben wir es aber trotzdem mit sehr guten Näherungen zu tun. In den folgenden drei Abschnitten werden wir die in den Formeln zusammengefügten Faktoren Blende, Aufnahmeabstand und Brennweite variieren, um zu sehen wie sich dies auf die Schärfentiefe auswirkt.
